Tabla de derivadas
Tabla de derivadas inmediatas
Derivada de una constante
![]()
Derivada de x
![]()
Derivada de la función lineal
![]()
Derivada de una potencia
![]()
Derivada de una raíz cuadrada
![]()
Derivada de una raíz

Derivada de una suma
![]()
Derivada de una constante por una función
![]()
Derivada de un producto
![]()
Derivada de una constante partida por una función
![]()
Derivada de un cociente
![]()
Derivada de la función exponencial
![]()
Derivada de la función exponencial de base e
![]()
Derivada de un logaritmo
![]()
Como
, también se puede expresar así:
![]()
Derivada del logaritmo neperiano
![]()
Derivada del seno
![]()
Derivada del coseno
![]()
Derivada de la tangente
![]()
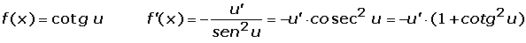
Derivada de la cotangente
![]()
Derivada de la secante
![]()
Derivada de la cosecante
![]()
Derivada del arcoseno

Derivada del arcocoseno

Derivada del arcotangente
![]()
Derivada del arcocotangente
![]()
Derivada del arcosecante

Derivada del arcocosecante

Derivada de la función potencial-exponencial
![]()
Regla de la cadena
![]()
Derivadas implícitas